東北地理所在水稻有機栽培提高微生物碳利用效率的機制研究取得新進展
有機農業作為一種環境友好型農業管理方式,在提升土壤健康和促進可持續農業發展方面受到廣泛關注。然而,有機種植如何通過調控土壤微生物群落提升碳利用效率(CUE),進而增強土壤碳匯功能,其機制尚不清晰。近日,中國科學院東北地理與農業生態研究所農田分子生態學科組在東北黑土區系統比較了長期有機與常規兩種水稻栽培模式下,土壤微生物CUE在水稻生育期內的動態變化,并結合土壤理化性質、微生物群落結構、酶活性及生態化學計量學特征,深入解析了微生物CUE驅動土壤有機碳動態的特征與機制。
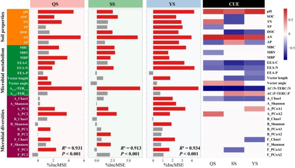
有機栽培提高了土壤pH值和速效養分含量,緩解了微生物碳和氮限制,從而增強了微生物化學計量平衡和碳利用效率。常規栽培下,在水稻生長的后期微生物為應對養分脅迫,分配更多能量用于合成胞外酶,導致微生物多樣性和生物量下降,最終降低了微生物CUE(圖1)。土壤有效氮含量和碳氮閾值元素比(TERC:N)是微生物CUE的關鍵調控因子(圖2)。研究發現地桿菌科(Geobacteraceae)相關屬、Ferruginibacter和Propioniciclava等通過調節微生物的生長策略和代謝途徑對CUE產生顯著影響。具有高rRNA操縱子(rrn)拷貝數的微生物模塊更傾向于采用快速生長策略(Y策略),促進碳向生物量合成方向分配,從而提升CUE(圖1)。本研究強調了有機農業在提高土壤微生物碳利用效率以減少生態系統碳損失方面的潛力,為優化土地管理策略以實現土壤碳封存和推進可持續農業實踐提供理論基礎。
相關成果發表在國際期刊《Agriculture,Ecosystems & Environment》上。東北地理所特別研究助理劉株秀為論文的第一作者,劉俊杰研究員為通訊作者。研究得到國家重點研發計劃、國家自然科學基金青年基金和黑龍江省春雁支持計劃青年科技英才項目的共同資助。

圖1 有機水稻栽培改善土壤養分有效性和微生物資源獲取策略提高土壤微生物CUE

圖2土壤微生物碳利用效率的主要影響因素
論文信息如下:
Liu Z X,Gu H D,Hu X J,Yu Z H,Li Y S,Jin J,Liu X B,Liu J J*,Wang G H. Enhancing microbial carbon use efficiency in organic rice farming through improved soil nutrient availability and microbial resource acquisition strategies. Agriculture,Ecosystems and Environment,2026,397: 110097.
論文鏈接:
https://doi.org/10.1016/j.agee.2025.110097
附件下載:
吉公網安備22017302000214號