東北地理所在東北地區耕地開墾對土壤有機碳儲量影響研究中取得進展
土壤有機碳(SOC)是土壤資源的重要組成部分,由于SOC對土壤、水體和糧食等具有重要作用,需要被準確的監測。一項研究表明,全球的SOC儲量每年損失約1.9 Pg。中國是產糧大國,糧食產量約占全球總產量的22%。當前除中國東北地區外,其他地區的耕作SOC儲量呈上升趨勢,東北地區位于世界四大黑土區之一,黑土代表了土壤的“高肥力”。另一方面,耕地開墾嚴重影響了SOC儲量,大量的研究發現,森林開墾會導致8.5%-42%的SOC流失,草地開墾則導致了12%-59%的SOC流失。因此,對東北地區耕作土壤的SOC儲量監測是必要的。高效、快速和低成本的遙感技術應用于具有裸土窗口期的東北地區SOC監測是非常合適的。
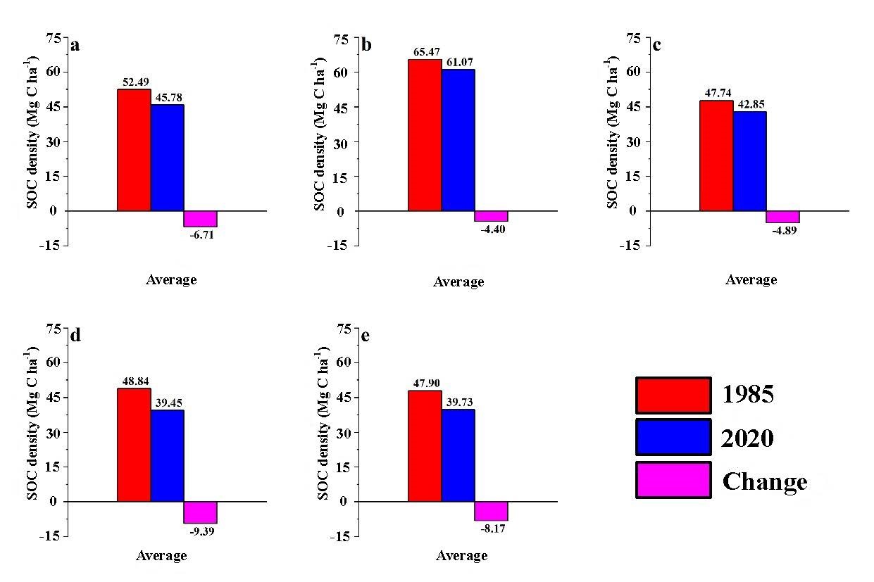
當前的SOC遙感監測研究有很多,但對于東北地區受耕地開墾影響而導致土壤有機碳儲量的變化研究很少。本研究基于東北地區2140個耕地表層土壤樣本,同時,在GEE云平臺獲取1985-2020年的Landsat影像,通過土地利用數據提取不同開墾年限的邊界,使用概率混合隨機森林模型完成35年來東北地區耕作SOC制圖。得到持續耕作35年和不同開墾年限導致SOC儲量流失的明確含量。研究表明,35年的耕作導致東北地區SOC含量降低約3.07 g kg-1,SOC密度降低約6.71 Mg C ha-1,SOC儲量降低約0.32 Pg;從1985到2020年,約64%的耕地SOC呈負增長;東北地區耕地開墾軌跡從高SOC向低SOC含量變化,在2005年以后,沒有耕地開墾在黑土上;濕地開墾對SOC的影響最大,濕地開墾31-35年后,SOC密度和儲量分別降低16.05 Mg C ha-1和0.005 Pg;森林開墾26-30年后,SOC密度和儲量分別降低8.33 Mg C ha-1和0.01 Pg。本研究的結果對東北地區SOC變化研究提供參考,也呼吁保護黑土和自然生態系統。
該研究成果發表在國際期刊Global Change Biology上,本研究由中國科學院東北地理與農業生態研究所王翔博士研究生、李思佳博士、王麗萍博士研究生、鄭淼碩士研究生、王宗明研究員和宋開山研究員共同完成,王翔為第一作者,宋開山研究員為通訊作者。該研究得到了中國科學院戰略先導專項(XDA28050400)和高分辨率地球觀測系統重大項目(71-Y50G10-9001-22/23)共同資助。
論文信息如下:
Xiang Wang, Sijia Li, Liping Wang, Miao Zheng, Zongming Wang, Kaishan Song*. Effects of cropland reclamation on soil organic carbon in China's black soil region over the past 35 years. Global Change Biology, 2023, 00, 1-18. https://doi.org/10.1111/gcb.16833
圖1東北地區35年來土壤有機碳密度變化(a代表東北地區;b代表黑龍江??;c代表吉林?。籨代表遼寧省;e代表內蒙古)

圖2東北地區耕地開墾結果(藍色邊框表示不同開墾年限大范圍分布區域)
附件下載:
吉公網安備22017302000214號