東北地理所在土壤有機碳熱穩定性研究方面取得新進展
土壤有機碳的穩定性影響土壤固碳潛力。如何提取土壤活性與穩定性碳組分用以定量表征土壤有機碳穩定性,是土壤固碳研究領域的關鍵科學問題。當前, 提取土壤有機碳活性及穩定性組分的方法多樣,包括物理、化學及生物手段,導致結果難以比較,同時存在耗時長、成本高及操作步驟繁瑣等缺點,亟需一種高效、可信度高且應用廣泛的測定方法。對比分析不同熱分解技術的優缺點, 包括熱裂解氣相-質譜聯用測定技術、熱重分析技術、差示掃描量熱分析技術及Rock-Eval(RE)熱分解方法,普遍認為RE方法操作簡單、耗時短、成本低、結果易于分析,可信度較高,可以很好地表征土壤有機碳穩定性,有利于土壤有機碳研究的橫向對比。
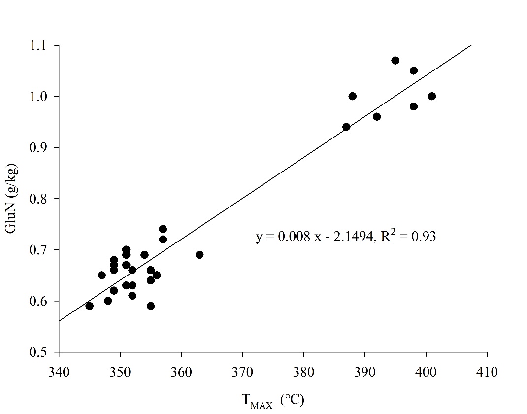
中科院東北地理所黑土有機碳與保護性耕作學科組科研人員依托保護性耕作長期定位實驗(建于2001年)在國內首次開展了相關研究,包含免耕玉米-大豆輪作(NTCS)、秋翻玉米-大豆輪作(MPCS)、免耕玉米連作(NTCC)、秋翻玉米連作(MPCC)、常規耕作玉米連作且秸稈不還田(CTCC)5個處理。采集了不同深度的土壤樣品,測定其土壤熱穩定性(圖1),計算RE相關指標,同時與土壤異養呼吸及微生物殘體進行相關分析。RE方法分為熱解和氧化兩個階段包括S1-S5五個階段,具有多個相關指標,TMAX(℃)代表在S2熱解階段釋放的富氫化合物達到峰值時對應的溫度,可作為指示土壤有機碳成熟度的指標。HI表示在土壤有機碳中富氫化合物的相對含量,OIRE6表示在土壤有機碳在S3階段釋放的O2相對含量,代表土壤有機碳的相對氧化狀態。T50代表在氧化階段(S4)釋放的CO2達到該部分總釋放值50%時的溫度,用來表征穩定性碳庫。研究結果表明,耕作方式對RE指標影響很大(TMAX、HI、T50),但是作物輪作對其無顯著影響,其中免耕顯著提高了土壤表層的有機碳熱穩定性(TMAX)。RE指標(HI)在短期室內培養實驗中(<100天)可以很好地表征土壤異養呼吸情況,也在國際上首次發現TMAX指標與真菌殘體(GluN)有很高的相關性(R2=0.93)(圖2)。本項研究為未來RE方法在國際上的推廣應用提供了有效的數據支撐。

圖1 RE方法測定圖譜(以免耕玉米大豆輪作及秋翻玉米大豆輪作0-5 cm土層為例)

圖2 真菌殘體GluN與TMAX線性回歸關系
相關研究結果以“Linking Rock-Eval parameters to soil heterotrophic respiration and microbial residues in a black soil”為題發表在國際土壤學領域權威期刊Soil Biology and Biochemistry上。東北地理所黑土有機碳與保護性耕作學科組助理研究員張延為第一作者,梁愛珍研究員與加拿大農業及農業食品部Edward Gregorich為共同通訊作者。該研究得到了中國科學院戰略性先導科技專項(XDA28080201)、國家自然科學基金(42101277. 41877095)等項目的資助。
論文信息:Zhang, Y., Gao, Y., Zhang, Y., Huang, D. D., Li, X. J., McLaughlin, N., Zhang, X. P., Chen, X. W., Zhang, S.X., Gregorich, E.*, Liang, A. Z.* Linking Rock-Eval parameters with soil heterotrophic respiration and microbial residues in black soil. Soil Biology and Biochemistry, 2023. 178. 108939.
https://doi.org/10.1016/j.soilbio.2023.108939
附件下載:
吉公網安備22017302000214號